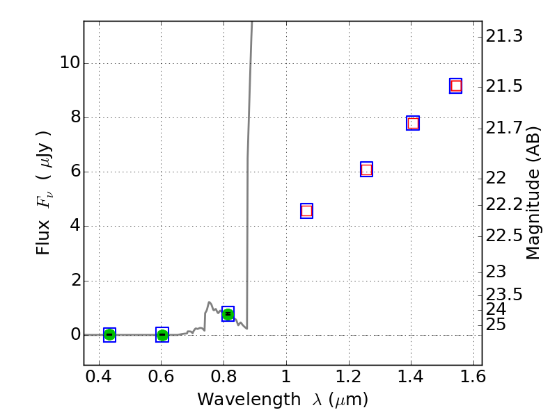
RXC0142+44 ACS+IR detection object #1694

Color images and BPZ results
Catalog: 1694.cat
Black segments are analyzed here.   Roll mouse over color images to view segments.
Best viewed in a wide browser window (1200 pixels or more).   Download SED & P(z) plots to view larger versions.
In P(z) plots: Yellow lines mark the cluster redshift z = 0.341,  

Object #1694   x,y = (728, 3212)   RA, Dec = (01:43:04.776, 44:38:45.96) = (25.76990, 44.64610)   BPZ = 6.211 [5.827--8.820]   type = 6.00 (Sbc_B10)   chisq2 = 0.00   ODDS = 0.41   z_cluster = 0.341