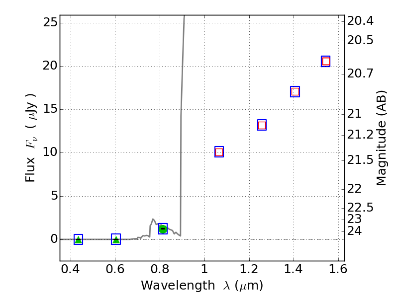
RXC0142+44 ACS+IR detection object #1602

Color images and BPZ results
Catalog: 1602.cat
Black segments are analyzed here.   Roll mouse over color images to view segments.
Best viewed in a wide browser window (1200 pixels or more).   Download SED & P(z) plots to view larger versions.
In P(z) plots: Yellow lines mark the cluster redshift z = 0.341,  

Object #1602   x,y = (4212, 3275)   RA, Dec = (01:42:45.192, 44:38:49.92) = (25.68830, 44.64720)   BPZ = 6.363 [5.979--8.756]   type = 6.00 (Sbc_B10)   chisq2 = 0.00   ODDS = 0.43   z_cluster = 0.341