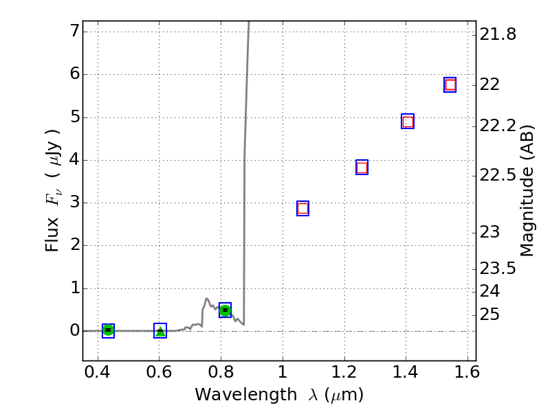
RXC0142+44 ACS+IR detection object #1496
Color images and BPZ results
Catalog: 1496.cat
Black segments are analyzed here. Roll mouse over color images to view segments.
Best viewed in a wide browser window (1200 pixels or more). Download SED & P(z) plots to view larger versions.
In P(z) plots: Yellow lines mark the cluster redshift z = 0.341,
Object #1496 x,y = (674, 3346) RA, Dec = (01:43:05.088, 44:38:53.88) = (25.77120, 44.64830) BPZ = 6.210 [5.712--9.000] type = 6.00 (Sbc_B10) chisq2 = 0.00 ODDS = 0.37 z_cluster = 0.341