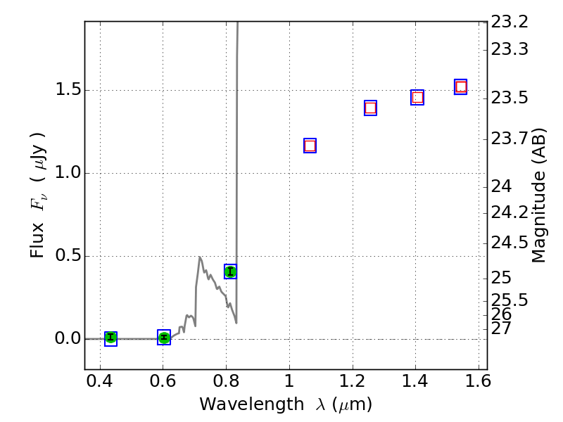
RXC0142+44 ACS+IR detection object #1359
Color images and BPZ results
Catalog: 1359.cat
Black segments are analyzed here. Roll mouse over color images to view segments.
Best viewed in a wide browser window (1200 pixels or more). Download SED & P(z) plots to view larger versions.
In P(z) plots: Yellow lines mark the cluster redshift z = 0.341,
Object #1359 x,y = (666, 3460) RA, Dec = (01:43:05.136, 44:39:00.72) = (25.77140, 44.65020) BPZ = 5.859 [2.956--8.618] type = 7.80 (SB1_B10 - Scd_B10) chisq2 = 0.01 ODDS = 0.36 z_cluster = 0.341