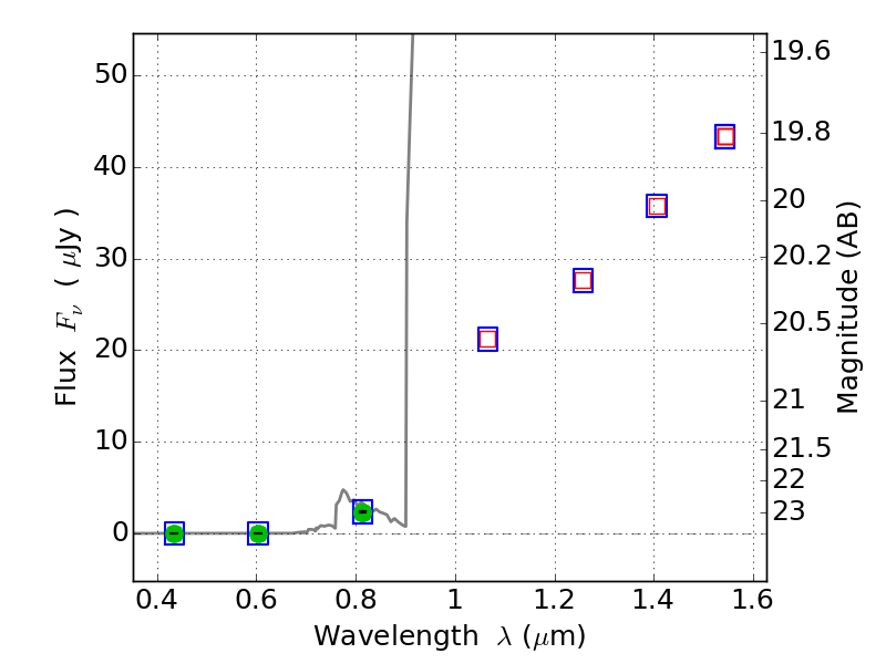
RXC0142+44 ACS+IR detection object #1343

Color images and BPZ results
Catalog: 1343.cat
Black segments are analyzed here.   Roll mouse over color images to view segments.
Best viewed in a wide browser window (1200 pixels or more).   Download SED & P(z) plots to view larger versions.
In P(z) plots: Yellow lines mark the cluster redshift z = 0.341,  

Object #1343   x,y = (680, 3468)   RA, Dec = (01:43:05.040, 44:39:01.44) = (25.77100, 44.65040)   BPZ = 6.406 [6.092--8.569]   type = 6.00 (Sbc_B10)   chisq2 = 0.00   ODDS = 0.50   z_cluster = 0.341