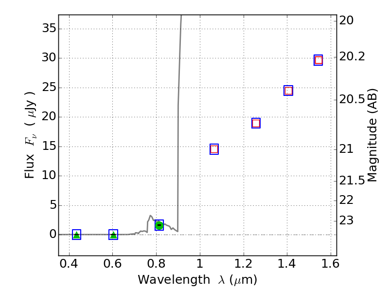
RXC0142+44 ACS+IR detection object #1141

Color images and BPZ results
Catalog: 1141.cat
Black segments are analyzed here.   Roll mouse over color images to view segments.
Best viewed in a wide browser window (1200 pixels or more).   Download SED & P(z) plots to view larger versions.
In P(z) plots: Yellow lines mark the cluster redshift z = 0.341,  

Object #1141   x,y = (4201, 3587)   RA, Dec = (01:42:45.264, 44:39:08.64) = (25.68860, 44.65240)   BPZ = 6.405 [6.016--8.674]   type = 6.00 (Sbc_B10)   chisq2 = 0.00   ODDS = 0.45   z_cluster = 0.341