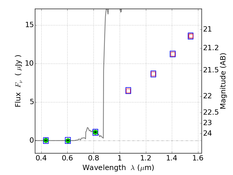
RXC0142+44 ACS+IR detection object #1099

Color images and BPZ results
Catalog: 1099.cat
Black segments are analyzed here.   Roll mouse over color images to view segments.
Best viewed in a wide browser window (1200 pixels or more).   Download SED & P(z) plots to view larger versions.
In P(z) plots: Yellow lines mark the cluster redshift z = 0.341,  

Object #1099   x,y = (4233, 3613)   RA, Dec = (01:42:45.072, 44:39:10.08) = (25.68780, 44.65280)   BPZ = 6.213 [5.880--8.720]   type = 5.80 (Sbc_B10 - ES0_B10)   chisq2 = 0.00   ODDS = 0.46   z_cluster = 0.341