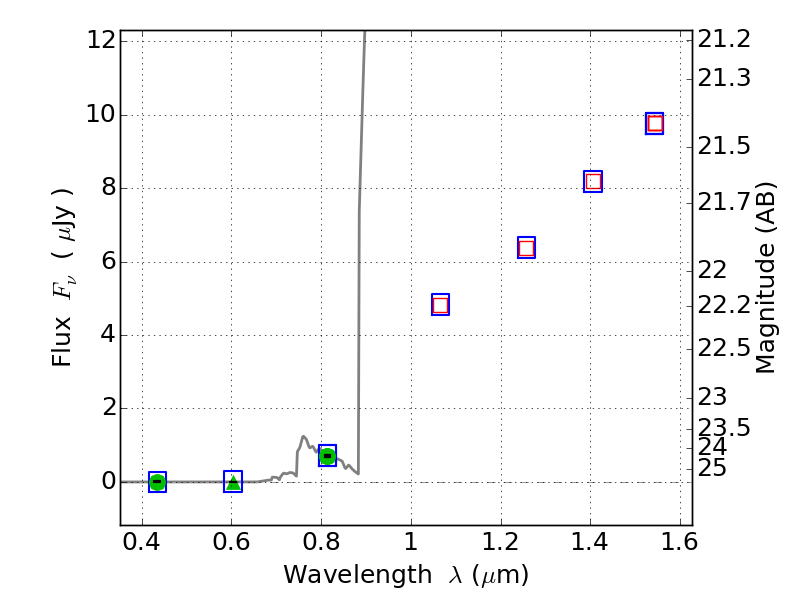
RXC0142+44 ACS+IR detection object #1052
Color images and BPZ results
Catalog: 1052.cat
Black segments are analyzed here. Roll mouse over color images to view segments.
Best viewed in a wide browser window (1200 pixels or more). Download SED & P(z) plots to view larger versions.
In P(z) plots: Yellow lines mark the cluster redshift z = 0.341,
Object #1052 x,y = (4208, 3644) RA, Dec = (01:42:45.216, 44:39:11.88) = (25.68840, 44.65330) BPZ = 6.274 [5.881--8.897] type = 6.00 (Sbc_B10) chisq2 = 0.00 ODDS = 0.39 z_cluster = 0.341