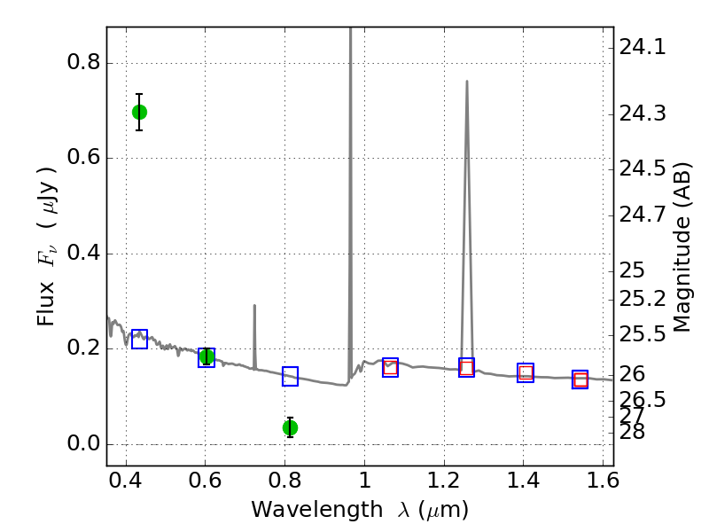
RXC0142+44 ACS+IR detection object #490

Color images and BPZ results
Catalog: 490.cat
Black segments are analyzed here.   Roll mouse over color images to view segments.
Best viewed in a wide browser window (1200 pixels or more).   Download SED & P(z) plots to view larger versions.
In P(z) plots: Yellow lines mark the cluster redshift z = 0.341,  

Object #490   x,y = (643, 3979)   RA, Dec = (01:43:05.256, 44:39:32.04) = (25.77190, 44.65890)   BPZ = 1.593 [1.447--2.099]   type = 11.00 (SB11_A_0_l)   chisq2 = 176.50   ODDS = 0.57   z_cluster = 0.341