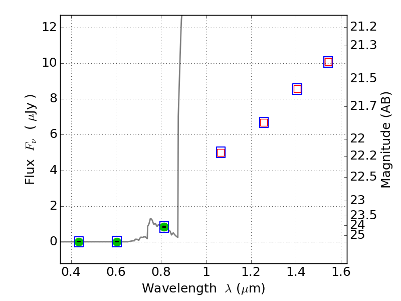
RXC0142+44 ACS+IR detection object #4469

Color images and BPZ results
Catalog: 4469.cat
Black segments are analyzed here.   Roll mouse over color images to view segments.
Best viewed in a wide browser window (1200 pixels or more).   Download SED & P(z) plots to view larger versions.
In P(z) plots: Yellow lines mark the cluster redshift z = 0.341,  

Object #4469   x,y = (4319, 1525)   RA, Dec = (01:42:44.592, 44:37:04.80) = (25.68580, 44.61800)   BPZ = 6.214 [5.873--8.783]   type = 6.00 (Sbc_B10)   chisq2 = 0.00   ODDS = 0.44   z_cluster = 0.341