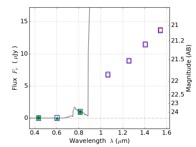
RXC0142+44 ACS+IR detection object #4120

Color images and BPZ results
Catalog: 4120.cat
Black segments are analyzed here.   Roll mouse over color images to view segments.
Best viewed in a wide browser window (1200 pixels or more).   Download SED & P(z) plots to view larger versions.
In P(z) plots: Yellow lines mark the cluster redshift z = 0.341,  

Object #4120   x,y = (4324, 1786)   RA, Dec = (01:42:44.568, 44:37:20.28) = (25.68570, 44.62230)   BPZ = 6.294 [5.939--8.892]   type = 6.00 (Sbc_B10)   chisq2 = 0.00   ODDS = 0.40   z_cluster = 0.341