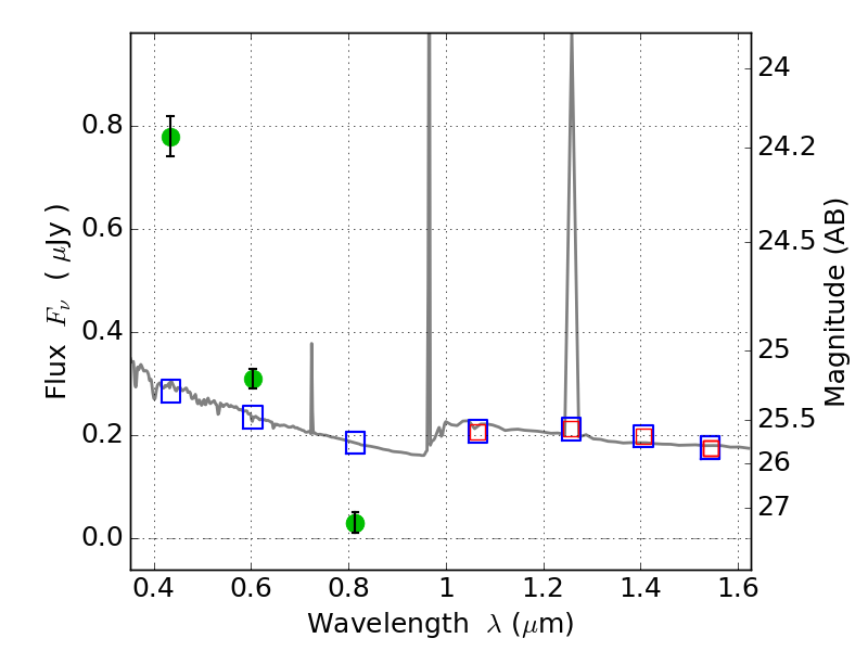
RXC0142+44 ACS+IR detection object #1753

Color images and BPZ results
Catalog: 1753.cat
Black segments are analyzed here.   Roll mouse over color images to view segments.
Best viewed in a wide browser window (1200 pixels or more).   Download SED & P(z) plots to view larger versions.
In P(z) plots: Yellow lines mark the cluster redshift z = 0.341,  

Object #1753   x,y = (726, 3236)   RA, Dec = (01:43:04.800, 44:38:47.40) = (25.77000, 44.64650)   BPZ = 1.594 [1.509--1.999]   type = 11.00 (SB11_A_0_l)   chisq2 = 202.70   ODDS = 0.74   z_cluster = 0.341