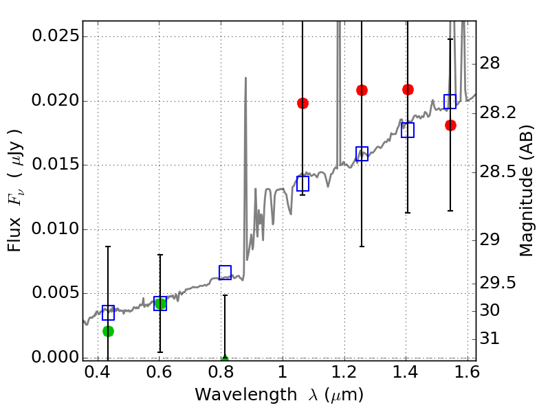
RXC0142+44 IR detection object #74

Color images and BPZ results
Catalog: 74.cat
Black segments are analyzed here.   Roll mouse over color images to view segments.
Best viewed in a wide browser window (1200 pixels or more).   Download SED & P(z) plots to view larger versions.
In P(z) plots: Yellow lines mark the cluster redshift z = 0.341,  

Object #74   x,y = (2675, 3665)   RA, Dec = (01:42:53.832, 44:39:13.32) = (25.72430, 44.65370)   BPZ = 1.358 [0.500--7.519]   type = 8.00 (SB1_B10)   chisq2 = 0.72   ODDS = 0.10   z_cluster = 0.341