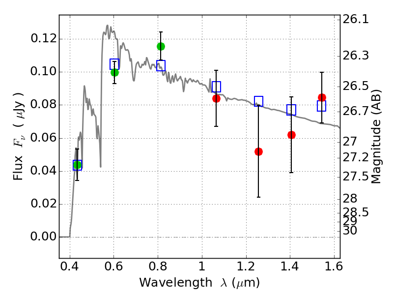
RXC0142+44 IR detection object #34

Color images and BPZ results
Catalog: 34.cat
Black segments are analyzed here.   Roll mouse over color images to view segments.
Best viewed in a wide browser window (1200 pixels or more).   Download SED & P(z) plots to view larger versions.
In P(z) plots: Yellow lines mark the cluster redshift z = 0.341,  

Object #34   x,y = (2050, 3850)   RA, Dec = (01:42:57.336, 44:39:24.12) = (25.73890, 44.65670)   BPZ = 3.461 [0.301--3.694]   type = 10.50 (SB11_A_0_l - SB3_B10)   chisq2 = 0.78   ODDS = 0.86   z_cluster = 0.341