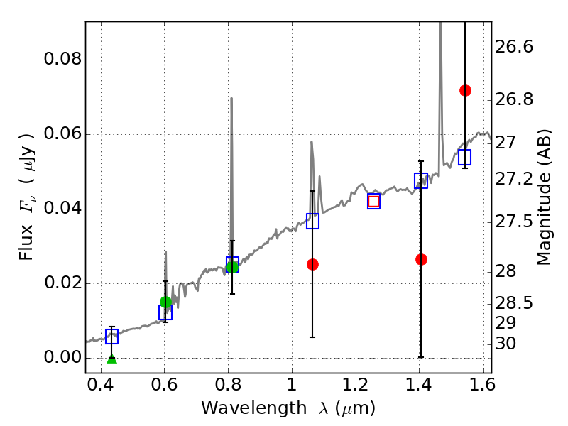
RXC0142+44 IR detection object #194

Color images and BPZ results
Catalog: 194.cat
Black segments are analyzed here.   Roll mouse over color images to view segments.
Best viewed in a wide browser window (1200 pixels or more).   Download SED & P(z) plots to view larger versions.
In P(z) plots: Yellow lines mark the cluster redshift z = 0.341,  

Object #194   x,y = (1492, 3317)   RA, Dec = (01:43:00.480, 44:38:52.44) = (25.75200, 44.64790)   BPZ = 0.616 [0.271--4.387]   type = 7.10 (Scd_B10 - SB1_B10)   chisq2 = 0.76   ODDS = 0.07   z_cluster = 0.341