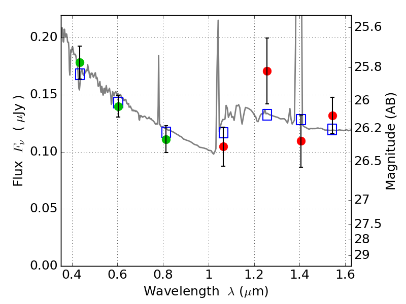
RXC0142+44 IR detection object #707

Color images and BPZ results
Catalog: 707.cat
Black segments are analyzed here.   Roll mouse over color images to view segments.
Best viewed in a wide browser window (1200 pixels or more).   Download SED & P(z) plots to view larger versions.
In P(z) plots: Yellow lines mark the cluster redshift z = 0.341,  

Object #707   x,y = (3637, 2445)   RA, Dec = (01:42:48.432, 44:37:59.88) = (25.70180, 44.63330)   BPZ = 1.793 [1.475--2.436]   type = 10.70 (SB11_A_0_l - SB3_B10)   stellarity = 0.01   chisq2 = 0.83   ODDS = 0.29   z_cluster = 0.341