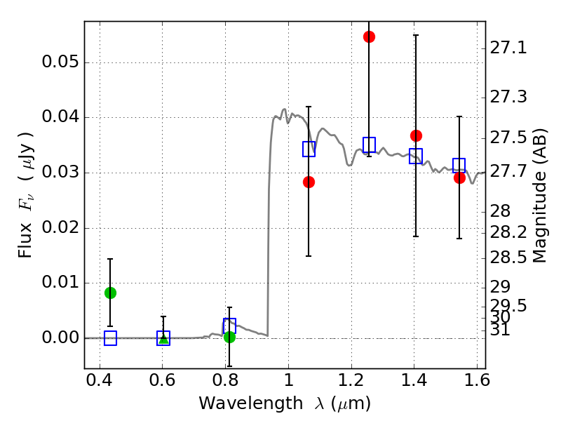
RXC0142+44 IR detection object #580

Color images and BPZ results
Catalog: 580.cat
Black segments are analyzed here.   Roll mouse over color images to view segments.
Best viewed in a wide browser window (1200 pixels or more).   Download SED & P(z) plots to view larger versions.
In P(z) plots: Yellow lines mark the cluster redshift z = 0.341,  

Object #580   x,y = (993, 2636)   RA, Dec = (01:43:03.288, 44:38:11.40) = (25.76370, 44.63650)   BPZ = 6.711 [1.012--8.345]   type = 10.70 (SB11_A_0_l - SB3_B10)   stellarity = 0.23   chisq2 = 0.69   ODDS = 0.28   z_cluster = 0.341