RXC0142+44 IR detection object #1059

Color images and BPZ results
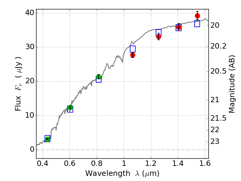
Catalog: 1059.cat
Black segments are analyzed here.   Roll mouse over color images to view segments.
Best viewed in a wide browser window (1200 pixels or more).   Download SED & P(z) plots to view larger versions.
In P(z) plots: Yellow lines mark the cluster redshift z = 0.341,  

Object #1059   x,y = (2751, 1883)   RA, Dec = (01:42:53.400, 44:37:26.40) = (25.72250, 44.62400)   BPZ = 0.165 [0.135--0.190]   type = 3.90 (Ell4_A_0 - Ell5_A_0)   stellarity = 0.03   chisq2 = 0.40   ODDS = 0.99   z_cluster = 0.341