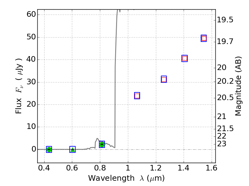
RXC0142+44 ACS+IR detection object #880
Color images and BPZ results
Catalog: 880.cat
Black segments are analyzed here. Roll mouse over color images to view segments.
Best viewed in a wide browser window (1200 pixels or more). Download SED & P(z) plots to view larger versions.
In P(z) plots: Yellow lines mark the cluster redshift z = 0.341,
Object #880 x,y = (671, 3759) RA, Dec = (01:43:05.112, 44:39:18.72) = (25.77130, 44.65520) BPZ = 6.463 [6.141--8.621] type = 6.00 (Sbc_B10) chisq2 = 0.00 ODDS = 0.49 z_cluster = 0.341