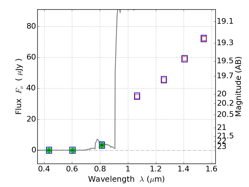
RXC0142+44 ACS+IR detection object #869
Color images and BPZ results
Catalog: 869.cat
Black segments are analyzed here. Roll mouse over color images to view segments.
Best viewed in a wide browser window (1200 pixels or more). Download SED & P(z) plots to view larger versions.
In P(z) plots: Yellow lines mark the cluster redshift z = 0.341,
Object #869 x,y = (686, 3765) RA, Dec = (01:43:05.016, 44:39:19.08) = (25.77090, 44.65530) BPZ = 6.468 [6.179--8.426] type = 6.00 (Sbc_B10) chisq2 = 0.00 ODDS = 0.52 z_cluster = 0.341