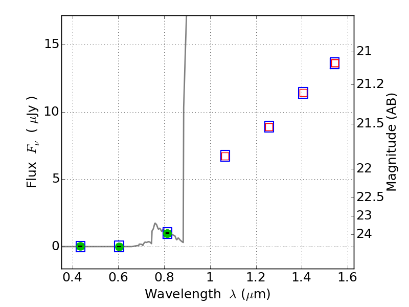
RXC0142+44 ACS+IR detection object #588
Color images and BPZ results
Catalog: 588.cat
Black segments are analyzed here. Roll mouse over color images to view segments.
Best viewed in a wide browser window (1200 pixels or more). Download SED & P(z) plots to view larger versions.
In P(z) plots: Yellow lines mark the cluster redshift z = 0.341,
Object #588 x,y = (4205, 3923) RA, Dec = (01:42:45.240, 44:39:28.44) = (25.68850, 44.65790) BPZ = 6.274 [5.919--8.837] type = 6.00 (Sbc_B10) chisq2 = 0.00 ODDS = 0.43 z_cluster = 0.341