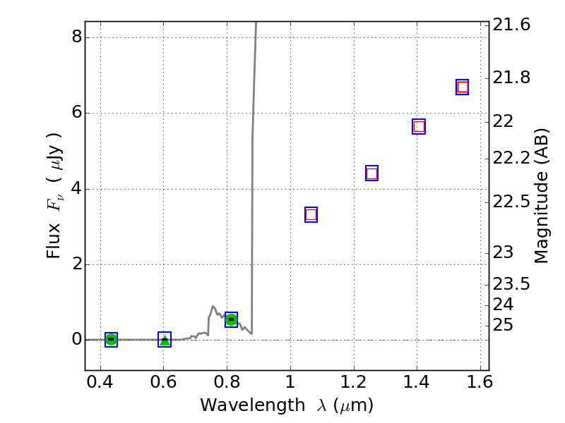
RXC0142+44 ACS+IR detection object #532
Color images and BPZ results
Catalog: 532.cat
Black segments are analyzed here. Roll mouse over color images to view segments.
Best viewed in a wide browser window (1200 pixels or more). Download SED & P(z) plots to view larger versions.
In P(z) plots: Yellow lines mark the cluster redshift z = 0.341,
Object #532 x,y = (4204, 3959) RA, Dec = (01:42:45.240, 44:39:30.96) = (25.68850, 44.65860) BPZ = 6.233 [5.805--8.987] type = 6.00 (Sbc_B10) chisq2 = 0.00 ODDS = 0.37 z_cluster = 0.341