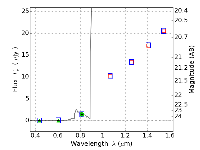
RXC0142+44 ACS+IR detection object #5044
Color images and BPZ results
Catalog: 5044.cat
Black segments are analyzed here. Roll mouse over color images to view segments.
Best viewed in a wide browser window (1200 pixels or more). Download SED & P(z) plots to view larger versions.
In P(z) plots: Yellow lines mark the cluster redshift z = 0.341,
Object #5044 x,y = (4329, 1153) RA, Dec = (01:42:44.544, 44:36:42.48) = (25.68560, 44.61180) BPZ = 6.297 [5.962--8.678] type = 6.00 (Sbc_B10) chisq2 = 0.00 ODDS = 0.42 z_cluster = 0.341