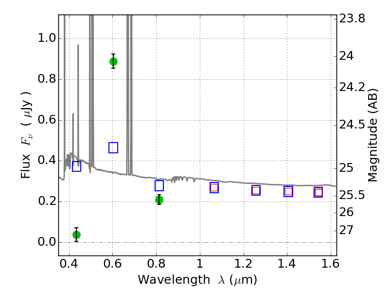
RXC0142+44 ACS+IR detection object #3441
Color images and BPZ results
Catalog: 3441.cat
Black segments are analyzed here. Roll mouse over color images to view segments.
Best viewed in a wide browser window (1200 pixels or more). Download SED & P(z) plots to view larger versions.
In P(z) plots: Yellow lines mark the cluster redshift z = 0.341,
Object #3441 x,y = (4295, 2195) RA, Dec = (01:42:44.736, 44:37:45.12) = (25.68640, 44.62920) BPZ = 0.016 [0.010--0.035] type = 11.00 (SB11_A_0_l) chisq2 = 141.60 ODDS = 1.00 z_cluster = 0.341