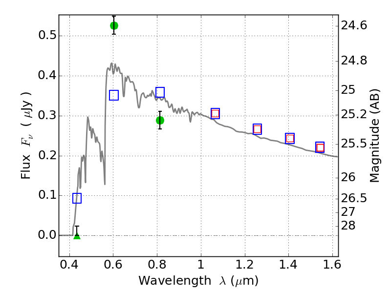
RXC0142+44 ACS+IR detection object #302
Color images and BPZ results
Catalog: 302.cat
Black segments are analyzed here. Roll mouse over color images to view segments.
Best viewed in a wide browser window (1200 pixels or more). Download SED & P(z) plots to view larger versions.
In P(z) plots: Yellow lines mark the cluster redshift z = 0.341,
Object #302 x,y = (626, 4081) RA, Dec = (01:43:05.352, 44:39:38.16) = (25.77230, 44.66060) BPZ = 3.634 [3.549--3.718] type = 11.00 (SB11_A_0_l) chisq2 = 45.40 ODDS = 1.00 z_cluster = 0.341