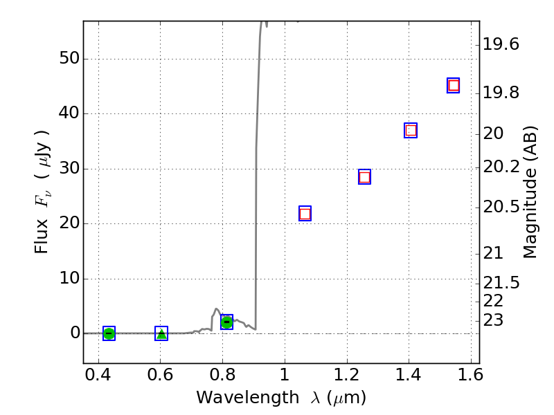
RXC0142+44 ACS+IR detection object #2162

Color images and BPZ results
Catalog: 2162.cat
Black segments are analyzed here.   Roll mouse over color images to view segments.
Best viewed in a wide browser window (1200 pixels or more).   Download SED & P(z) plots to view larger versions.
In P(z) plots: Yellow lines mark the cluster redshift z = 0.341,  

Object #2162   x,y = (4255, 2887)   RA, Dec = (01:42:44.952, 44:38:26.52) = (25.68730, 44.64070)   BPZ = 6.463 [6.137--8.635]   type = 6.00 (Sbc_B10)   chisq2 = 0.00   ODDS = 0.48   z_cluster = 0.341