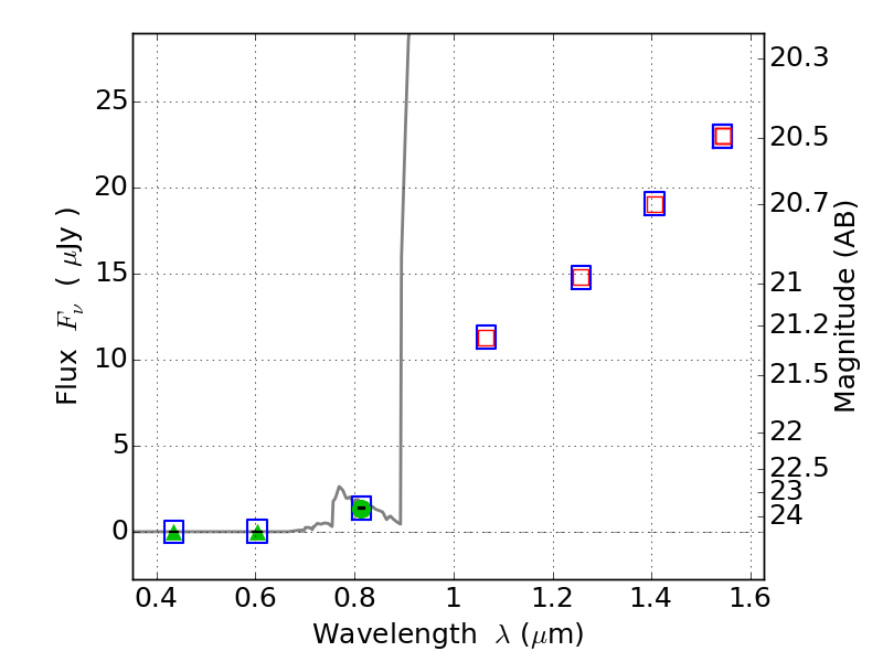
RXC0142+44 ACS+IR detection object #2108

Color images and BPZ results
Catalog: 2108.cat
Black segments are analyzed here.   Roll mouse over color images to view segments.
Best viewed in a wide browser window (1200 pixels or more).   Download SED & P(z) plots to view larger versions.
In P(z) plots: Yellow lines mark the cluster redshift z = 0.341,  

Object #2108   x,y = (4255, 3047)   RA, Dec = (01:42:44.952, 44:38:35.88) = (25.68730, 44.64330)   BPZ = 6.362 [5.977--8.722]   type = 6.00 (Sbc_B10)   chisq2 = 0.00   ODDS = 0.43   z_cluster = 0.341