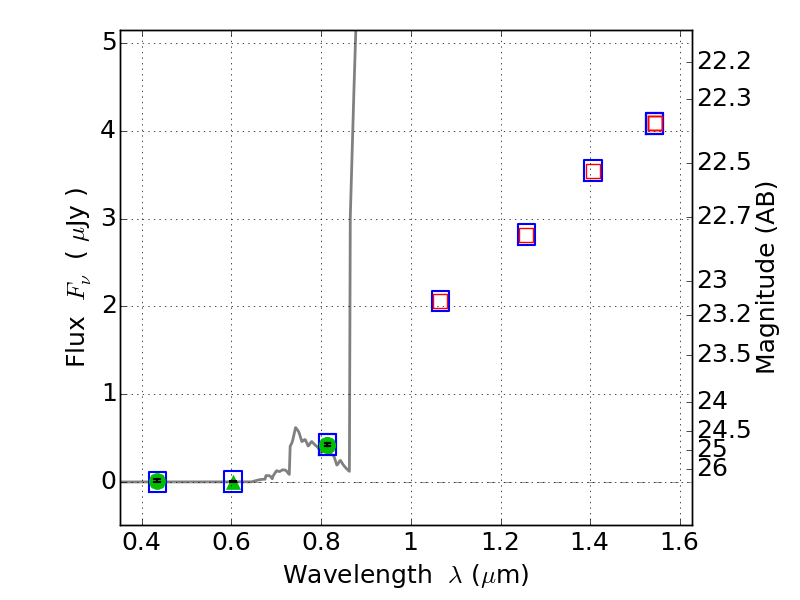
RXC0142+44 ACS+IR detection object #2065

Color images and BPZ results
Catalog: 2065.cat
Black segments are analyzed here.   Roll mouse over color images to view segments.
Best viewed in a wide browser window (1200 pixels or more).   Download SED & P(z) plots to view larger versions.
In P(z) plots: Yellow lines mark the cluster redshift z = 0.341,  

Object #2065   x,y = (4246, 3050)   RA, Dec = (01:42:45.000, 44:38:36.24) = (25.68750, 44.64340)   BPZ = 6.109 [5.642--8.957]   type = 6.00 (Sbc_B10)   chisq2 = 0.00   ODDS = 0.35   z_cluster = 0.341