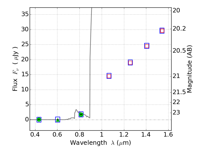
RXC0142+44 ACS+IR detection object #1614
Color images and BPZ results
Catalog: 1614.cat
Black segments are analyzed here. Roll mouse over color images to view segments.
Best viewed in a wide browser window (1200 pixels or more). Download SED & P(z) plots to view larger versions.
In P(z) plots: Yellow lines mark the cluster redshift z = 0.341,
Object #1614 x,y = (685, 3281) RA, Dec = (01:43:05.016, 44:38:50.28) = (25.77090, 44.64730) BPZ = 6.363 [5.984--8.866] type = 6.00 (Sbc_B10) chisq2 = 0.00 ODDS = 0.45 z_cluster = 0.341