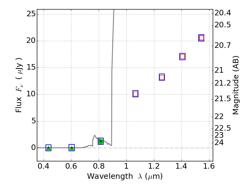
RXC0142+44 ACS+IR detection object #1602
Color images and BPZ results
Catalog: 1602.cat
Black segments are analyzed here. Roll mouse over color images to view segments.
Best viewed in a wide browser window (1200 pixels or more). Download SED & P(z) plots to view larger versions.
In P(z) plots: Yellow lines mark the cluster redshift z = 0.341,
Object #1602 x,y = (4212, 3275) RA, Dec = (01:42:45.192, 44:38:49.92) = (25.68830, 44.64720) BPZ = 6.363 [5.979--8.756] type = 6.00 (Sbc_B10) chisq2 = 0.00 ODDS = 0.43 z_cluster = 0.341