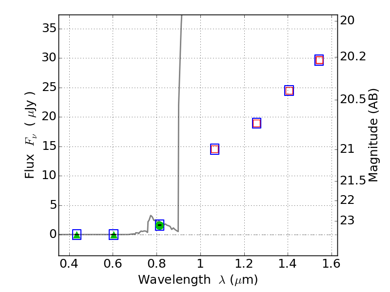
RXC0142+44 ACS+IR detection object #1141
Color images and BPZ results
Catalog: 1141.cat
Black segments are analyzed here. Roll mouse over color images to view segments.
Best viewed in a wide browser window (1200 pixels or more). Download SED & P(z) plots to view larger versions.
In P(z) plots: Yellow lines mark the cluster redshift z = 0.341,
Object #1141 x,y = (4201, 3587) RA, Dec = (01:42:45.264, 44:39:08.64) = (25.68860, 44.65240) BPZ = 6.405 [6.016--8.674] type = 6.00 (Sbc_B10) chisq2 = 0.00 ODDS = 0.45 z_cluster = 0.341