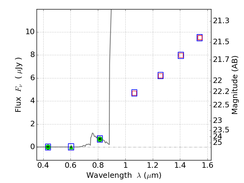
RXC0142+44 ACS+IR detection object #5602

Color images and BPZ results
Catalog: 5602.cat
Black segments are analyzed here.   Roll mouse over color images to view segments.
Best viewed in a wide browser window (1200 pixels or more).   Download SED & P(z) plots to view larger versions.
In P(z) plots: Yellow lines mark the cluster redshift z = 0.341,  

Object #5602   x,y = (4348, 795)   RA, Dec = (01:42:44.424, 44:36:20.88) = (25.68510, 44.60580)   BPZ = 6.272 [5.868--8.880]   type = 6.00 (Sbc_B10)   chisq2 = 0.00   ODDS = 0.39   z_cluster = 0.341