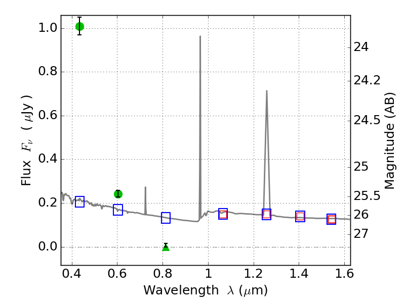
RXC0142+44 ACS+IR detection object #5078

Color images and BPZ results
Catalog: 5078.cat
Black segments are analyzed here.   Roll mouse over color images to view segments.
Best viewed in a wide browser window (1200 pixels or more).   Download SED & P(z) plots to view larger versions.
In P(z) plots: Yellow lines mark the cluster redshift z = 0.341,  

Object #5078   x,y = (4358, 1160)   RA, Dec = (01:42:44.376, 44:36:42.84) = (25.68490, 44.61190)   BPZ = 1.593 [1.503--1.984]   type = 11.00 (SB11_A_0_l)   chisq2 = 436.60   ODDS = 0.76   z_cluster = 0.341