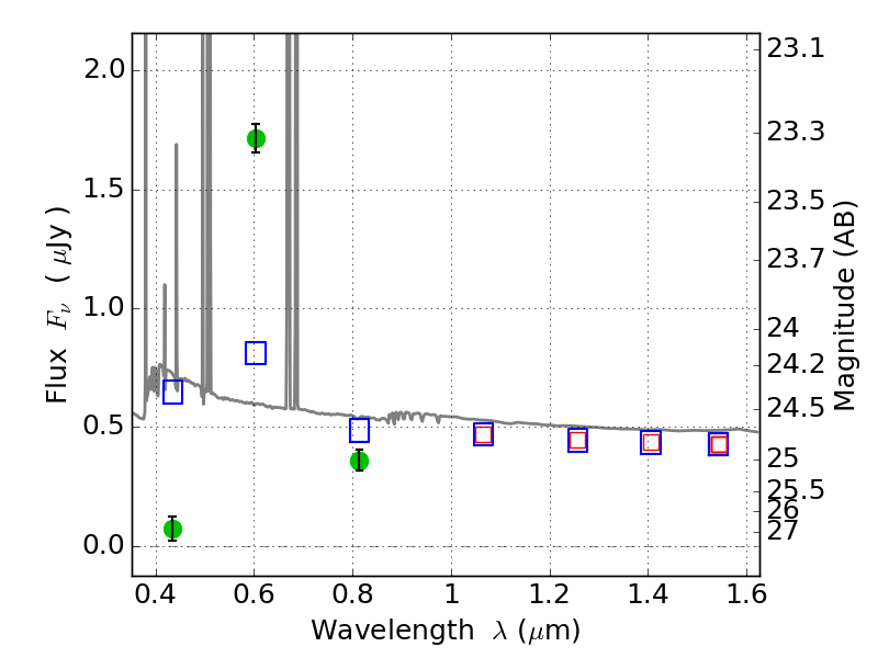
RXC0142+44 ACS+IR detection object #3985

Color images and BPZ results
Catalog: 3985.cat
Black segments are analyzed here.   Roll mouse over color images to view segments.
Best viewed in a wide browser window (1200 pixels or more).   Download SED & P(z) plots to view larger versions.
In P(z) plots: Yellow lines mark the cluster redshift z = 0.341,  

Object #3985   x,y = (833, 1422)   RA, Dec = (01:43:04.176, 44:36:58.68) = (25.76740, 44.61630)   BPZ = 0.016 [0.010--0.033]   type = 11.00 (SB11_A_0_l)   chisq2 = 192.10   ODDS = 1.00   z_cluster = 0.341