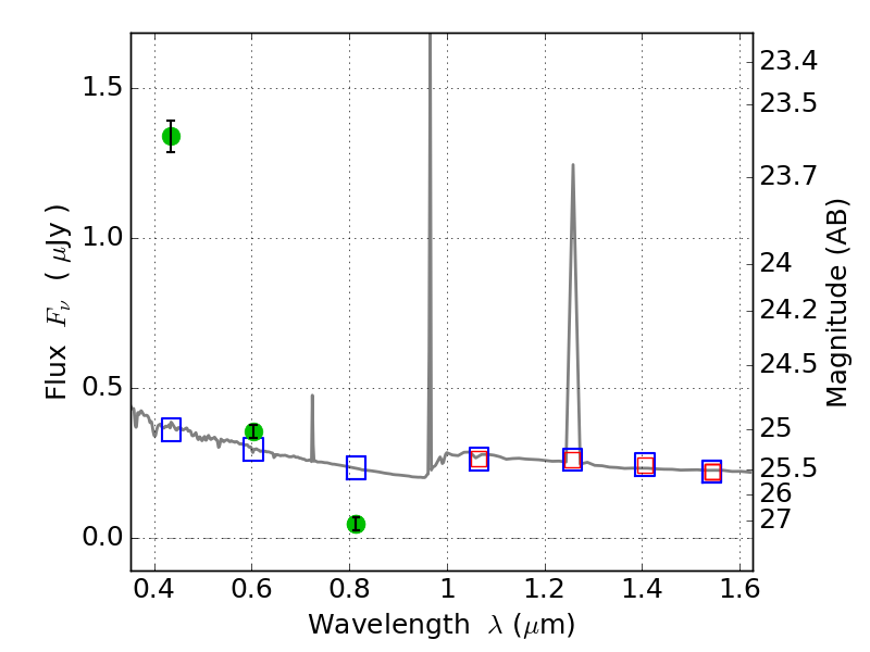
RXC0142+44 ACS+IR detection object #3971

Color images and BPZ results
Catalog: 3971.cat
Black segments are analyzed here.   Roll mouse over color images to view segments.
Best viewed in a wide browser window (1200 pixels or more).   Download SED & P(z) plots to view larger versions.
In P(z) plots: Yellow lines mark the cluster redshift z = 0.341,  

Object #3971   x,y = (806, 2023)   RA, Dec = (01:43:04.344, 44:37:34.68) = (25.76810, 44.62630)   BPZ = 1.593 [1.526--1.949]   type = 11.00 (SB11_A_0_l)   chisq2 = 348.10   ODDS = 0.82   z_cluster = 0.341