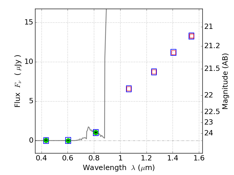
RXC0142+44 ACS+IR detection object #3563

Color images and BPZ results
Catalog: 3563.cat
Black segments are analyzed here.   Roll mouse over color images to view segments.
Best viewed in a wide browser window (1200 pixels or more).   Download SED & P(z) plots to view larger versions.
In P(z) plots: Yellow lines mark the cluster redshift z = 0.341,  

Object #3563   x,y = (808, 2138)   RA, Dec = (01:43:04.320, 44:37:41.52) = (25.76800, 44.62820)   BPZ = 6.255 [5.887--8.894]   type = 6.00 (Sbc_B10)   chisq2 = 0.00   ODDS = 0.41   z_cluster = 0.341