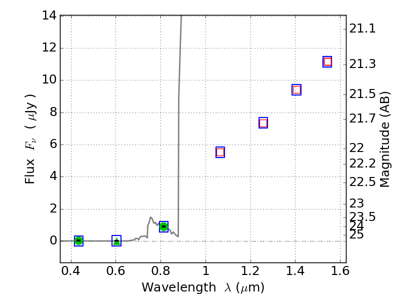
RXC0142+44 ACS+IR detection object #3438

Color images and BPZ results
Catalog: 3438.cat
Black segments are analyzed here.   Roll mouse over color images to view segments.
Best viewed in a wide browser window (1200 pixels or more).   Download SED & P(z) plots to view larger versions.
In P(z) plots: Yellow lines mark the cluster redshift z = 0.341,  

Object #3438   x,y = (4270, 2111)   RA, Dec = (01:42:44.856, 44:37:40.08) = (25.68690, 44.62780)   BPZ = 6.234 [5.827--8.809]   type = 6.00 (Sbc_B10)   chisq2 = 0.00   ODDS = 0.40   z_cluster = 0.341