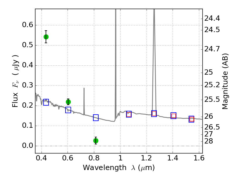
RXC0142+44 ACS+IR detection object #2836

Color images and BPZ results
Catalog: 2836.cat
Black segments are analyzed here.   Roll mouse over color images to view segments.
Best viewed in a wide browser window (1200 pixels or more).   Download SED & P(z) plots to view larger versions.
In P(z) plots: Yellow lines mark the cluster redshift z = 0.341,  

Object #2836   x,y = (733, 2520)   RA, Dec = (01:43:04.752, 44:38:04.56) = (25.76980, 44.63460)   BPZ = 1.594 [1.483--2.052]   type = 11.00 (SB11_A_0_l)   chisq2 = 147.80   ODDS = 0.64   z_cluster = 0.341