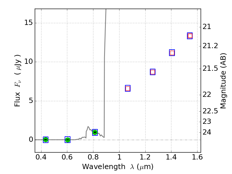
RXC0142+44 ACS+IR detection object #2629

Color images and BPZ results
Catalog: 2629.cat
Black segments are analyzed here.   Roll mouse over color images to view segments.
Best viewed in a wide browser window (1200 pixels or more).   Download SED & P(z) plots to view larger versions.
In P(z) plots: Yellow lines mark the cluster redshift z = 0.341,  

Object #2629   x,y = (4280, 2634)   RA, Dec = (01:42:44.808, 44:38:11.40) = (25.68670, 44.63650)   BPZ = 6.278 [5.914--8.826]   type = 6.00 (Sbc_B10)   chisq2 = 0.00   ODDS = 0.41   z_cluster = 0.341