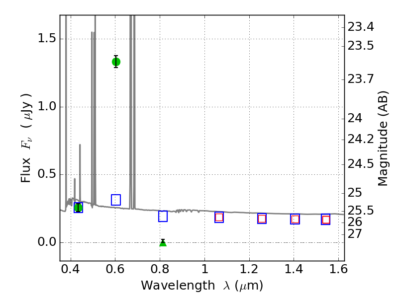
RXC0142+44 ACS+IR detection object #2516

Color images and BPZ results
Catalog: 2516.cat
Black segments are analyzed here.   Roll mouse over color images to view segments.
Best viewed in a wide browser window (1200 pixels or more).   Download SED & P(z) plots to view larger versions.
In P(z) plots: Yellow lines mark the cluster redshift z = 0.341,  

Object #2516   x,y = (747, 2691)   RA, Dec = (01:43:04.680, 44:38:14.64) = (25.76950, 44.63740)   BPZ = 0.019 [0.010--0.033]   type = 11.00 (SB11_A_0_l)   chisq2 = 530.50   ODDS = 1.00   z_cluster = 0.341