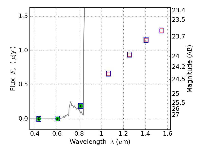
RXC0142+44 ACS+IR detection object #2336

Color images and BPZ results
Catalog: 2336.cat
Black segments are analyzed here.   Roll mouse over color images to view segments.
Best viewed in a wide browser window (1200 pixels or more).   Download SED & P(z) plots to view larger versions.
In P(z) plots: Yellow lines mark the cluster redshift z = 0.341,  

Object #2336   x,y = (4240, 2775)   RA, Dec = (01:42:45.024, 44:38:19.68) = (25.68760, 44.63880)   BPZ = 5.896 [1.483--8.806]   type = 6.00 (Sbc_B10)   chisq2 = 0.00   ODDS = 0.21   z_cluster = 0.341