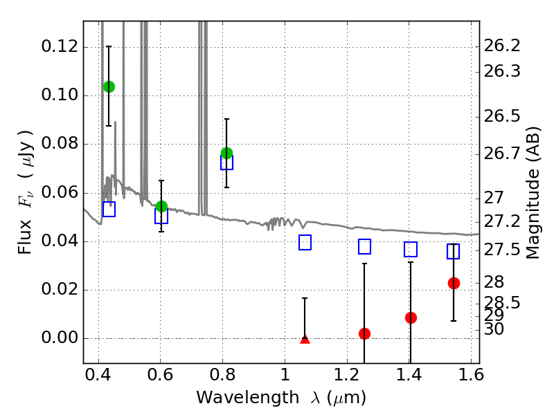
RXC0142+44 ACS+IR detection object #2324

Color images and BPZ results
Catalog: 2324.cat
Black segments are analyzed here.   Roll mouse over color images to view segments.
Best viewed in a wide browser window (1200 pixels or more).   Download SED & P(z) plots to view larger versions.
In P(z) plots: Yellow lines mark the cluster redshift z = 0.341,  

Object #2324   x,y = (2538, 2787)   RA, Dec = (01:42:54.600, 44:38:20.40) = (25.72750, 44.63900)   BPZ = 0.111 [0.071--2.495]   type = 11.00 (SB11_A_0_l)   chisq2 = 2.72   ODDS = 0.56   z_cluster = 0.341