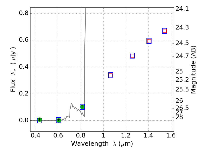
RXC0142+44 ACS+IR detection object #1994

Color images and BPZ results
Catalog: 1994.cat
Black segments are analyzed here.   Roll mouse over color images to view segments.
Best viewed in a wide browser window (1200 pixels or more).   Download SED & P(z) plots to view larger versions.
In P(z) plots: Yellow lines mark the cluster redshift z = 0.341,  

Object #1994   x,y = (4203, 2972)   RA, Dec = (01:42:45.240, 44:38:31.56) = (25.68850, 44.64210)   BPZ = 5.859 [1.359--8.897]   type = 6.00 (Sbc_B10)   chisq2 = 0.03   ODDS = 0.17   z_cluster = 0.341