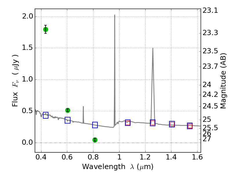
RXC0142+44 ACS+IR detection object #1922

Color images and BPZ results
Catalog: 1922.cat
Black segments are analyzed here.   Roll mouse over color images to view segments.
Best viewed in a wide browser window (1200 pixels or more).   Download SED & P(z) plots to view larger versions.
In P(z) plots: Yellow lines mark the cluster redshift z = 0.341,  

Object #1922   x,y = (706, 2991)   RA, Dec = (01:43:04.896, 44:38:32.64) = (25.77040, 44.64240)   BPZ = 1.593 [0.014--1.830]   type = 11.00 (SB11_A_0_l)   chisq2 = 460.00   ODDS = 0.80   z_cluster = 0.341