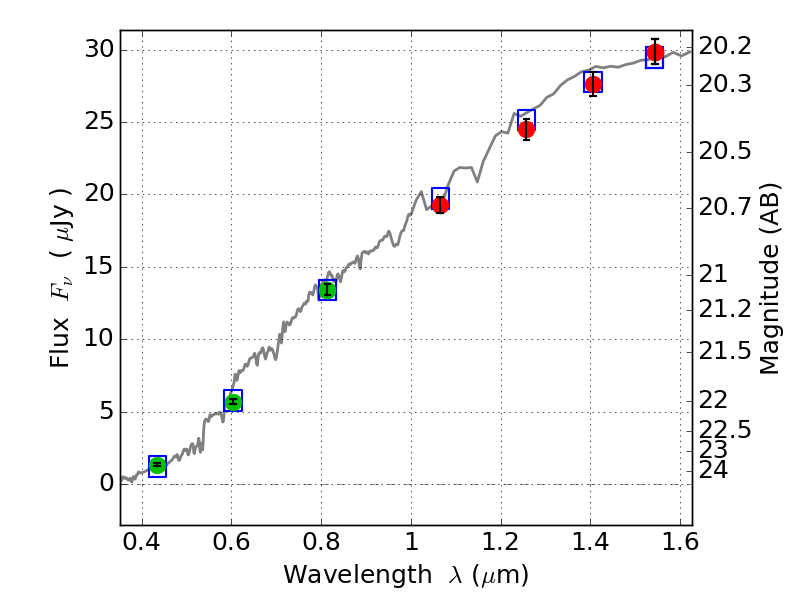
RXC0142+44 ACS+IR detection object #1537

Color images and BPZ results
Catalog: 1537.cat
Black segments are analyzed here.   Roll mouse over color images to view segments.
Best viewed in a wide browser window (1200 pixels or more).   Download SED & P(z) plots to view larger versions.
In P(z) plots: Yellow lines mark the cluster redshift z = 0.341,  

Object #1537   x,y = (2928, 3289)   RA, Dec = (01:42:52.416, 44:38:50.64) = (25.71840, 44.64740)   BPZ = 0.351 [0.288--0.389]   type = 3.10 (Ell5_A_0 - Ell4_A_0)   chisq2 = 0.04   ODDS = 0.96   z_cluster = 0.341