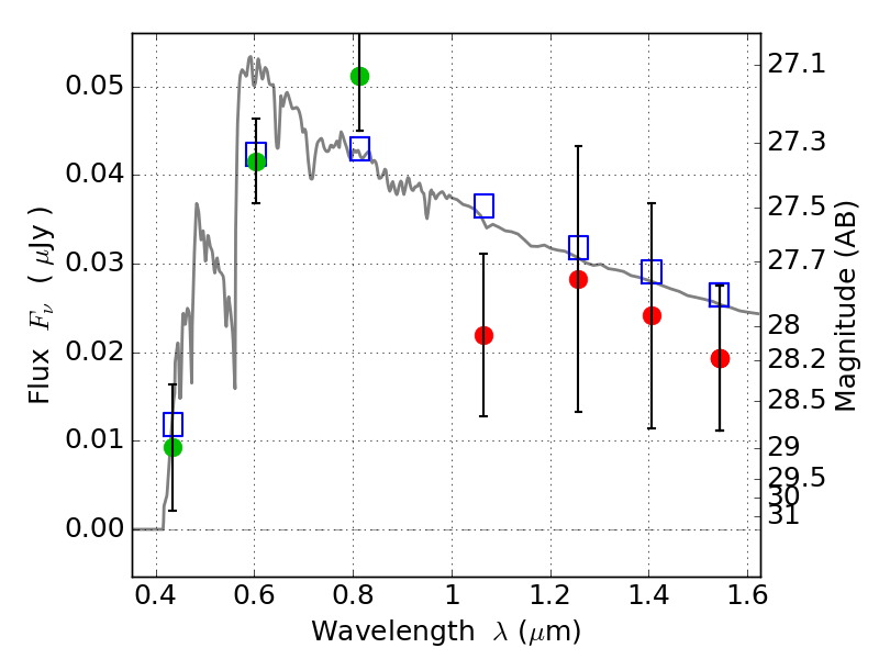
RXC0142+44 ACS+IR detection object #1404

Color images and BPZ results
Catalog: 1404.cat
Black segments are analyzed here.   Roll mouse over color images to view segments.
Best viewed in a wide browser window (1200 pixels or more).   Download SED & P(z) plots to view larger versions.
In P(z) plots: Yellow lines mark the cluster redshift z = 0.341,  

Object #1404   x,y = (1935, 3415)   RA, Dec = (01:42:57.984, 44:38:58.20) = (25.74160, 44.64950)   BPZ = 3.619 [0.170--3.961]   type = 11.00 (SB11_A_0_l)   chisq2 = 1.07   ODDS = 0.65   z_cluster = 0.341