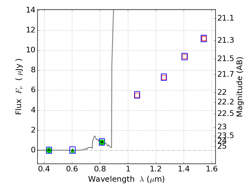
RXC0142+44 ACS+IR detection object #1377

Color images and BPZ results
Catalog: 1377.cat
Black segments are analyzed here.   Roll mouse over color images to view segments.
Best viewed in a wide browser window (1200 pixels or more).   Download SED & P(z) plots to view larger versions.
In P(z) plots: Yellow lines mark the cluster redshift z = 0.341,  

Object #1377   x,y = (697, 3446)   RA, Dec = (01:43:04.944, 44:39:0) = (25.77060, 44.65000)   BPZ = 6.275 [5.886--8.838]   type = 6.00 (Sbc_B10)   chisq2 = 0.00   ODDS = 0.40   z_cluster = 0.341