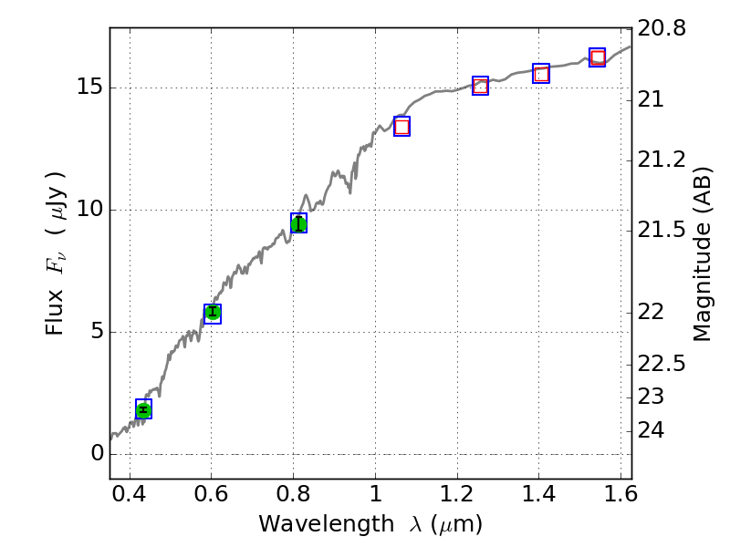
RXC0142+44 ACS+IR detection object #130

Color images and BPZ results
Catalog: 130.cat
Black segments are analyzed here.   Roll mouse over color images to view segments.
Best viewed in a wide browser window (1200 pixels or more).   Download SED & P(z) plots to view larger versions.
In P(z) plots: Yellow lines mark the cluster redshift z = 0.341,  

Object #130   x,y = (1528, 4163)   RA, Dec = (01:43:00.288, 44:39:43.20) = (25.75120, 44.66200)   BPZ = 0.097 [0.056--0.140]   type = 3.60 (Ell4_A_0 - Ell5_A_0)   chisq2 = 0.01   ODDS = 0.96   z_cluster = 0.341