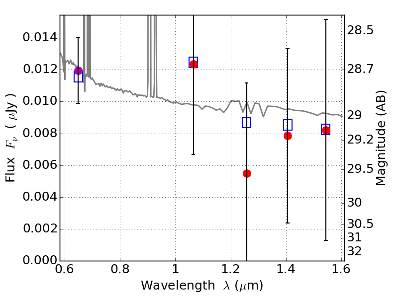
RXC0142+44-PAR IR detection object #710

Color images and BPZ results
Catalog: 710.cat
Black segments are analyzed here.   Roll mouse over color images to view segments.
Best viewed in a wide browser window (1200 pixels or more).   Download SED & P(z) plots to view larger versions.
In P(z) plots: Yellow lines mark the cluster redshift z = 0.341,  

Object #710   x,y = (1296, 2650)   RA, Dec = (01:43:24.792, 44:33:46.80) = (25.85330, 44.56300)   BPZ = 0.385 [0.134--3.636]   type = 11.00 (SB11_A_0_l)   chisq2 = 0.18   ODDS = 0.05   z_cluster = 0.341