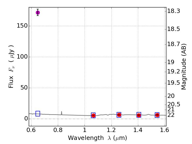
RXC0142+44-PAR IR detection object #177

Color images and BPZ results
Catalog: 177.cat
Black segments are analyzed here.   Roll mouse over color images to view segments.
Best viewed in a wide browser window (1200 pixels or more).   Download SED & P(z) plots to view larger versions.
In P(z) plots: Yellow lines mark the cluster redshift z = 0.341,  

Object #177   x,y = (2251, 3371)   RA, Dec = (01:43:19.416, 44:34:30.00) = (25.83090, 44.57500)   BPZ = 1.960 [1.847--2.258]   type = 11.00 (SB11_A_0_l)   chisq2 = 515.30   ODDS = 0.74   z_cluster = 0.341